km¢s 123981-K m shaji
Feb 18, 15 · View KMST SDN BHD Brunei's profile on LinkedIn, the world's largest professional community KMST SDN BHD has 2 jobs listed on their profile See the complete profile on LinkedIn and discover KMST SDN BHD'S connections and jobs at similar companiesAddress KMS Plastworld Pvt Ltd Metro Tower, Rear Block, 115, E V R Periyar Salai, Poonamallee High Road, Egmore, Chennai , Tamil Nadu, India Get DirectionsKMS Registration and the required documents Notice of KMS Membership approval standard 6·7DAN PROMOTION TEST Guide Notice on duplicate creditcard pay (카드 중복결제 안내) President Lee Presents Letter of Appointment Kukkiwon President Lee Dongsup Gathered Opinions f Kukkiwon President Lee meet Taekwondo Masters
Kms Construction Ab Hos Servicefinder
K m shaji
K m shaji-The TKMS team includes 52 aluminium gravel trains, plus our 35 brokers to serve all of your aggregate commodity needs We have our own 24hour, round the clock maintenance team keeping our fleet on the road and in service to you If you are located outside of Southeast Michigan, please give us a call atOnline calculator to convert centimeters per second to kilometers per second (cm/s to km/s) with formulas, examples, and tables Our conversions provide a quick and easy way to convert between Speed or Velocity units



Encrypting Messages Published To Amazon Sns With Aws Kms Aws Compute Blog
Share your videos with friends, family, and the worldWith the mobile disinfectant stands and the disinfectant wall mount from König & Meyer you can protect your customers, employees and visitors safely and sustainably We offer you five different models as mobile solutions for hand disinfection Made in Germany Smartphone and tablet PC table standOnline calculator to convert kilometers per second to meters per second (km/s to m/s) with formulas, examples, and tables Our conversions provide a quick and easy way to convert between Speed or Velocity units
The answer is 0001 We assume you are converting between kilometre/second and metre/second You can view more details on each measurement unitJun 01, 21 · K M S Flopping CheepCheep Posts 0/0 Since AM Location South Korea Last seen 3 years, 4 months and 6 days ago Posted on PM Originally posted by Sample quote Sample linkFind the perfect hair products Tell us about your hair needs in 5 easy steps and get your Style Equation Your Style Equation will include start, style and finish products START
GKM (@ghazan_khan_marwat_) on TikTok 26K Likes 273 Fans Ignore that shitty haters🔥 ( PÃKHTØØÑ ) ( MÄRWÃT ) ( ⚽⚽⚽ ) ( ♠️♠️♠️ )Killing Me Softly KMS Kill My Self KMS Kill Me Slowly KMS Korean Maplestory (gaming) showing only Slang/Internet Slang definitions ( show all 32 definitions) Note We have 131 other definitions for KMS in our Acronym AtticMay 27, 21 · KMS College of IT and Management is situated in Hoshiarpur in Punjab state of India it is accredited from AICTE and it is affiliated to Punjab Technical University



Km Solidario



Kmsauto Net Activator Download Official Website 21
For example, K&M's Ring Lock System makes their speaker stands favorites among live sound engineers These expanding mandrels lock speakers into place, making them exceptionally secure Their antivibration rubber bottoms and cushioned edges are also worth noting, and when you look at breakthrough designs such as the customizable Omega keyboardThe primary legend of our Craft centers on the building of King Solomon's Temple the Mark Master 4th Degree of Royal Arch Masonry, York rite the letters on the capstone on the gravemarker should be read clockwise, starting at 12 o'clock H T W S S T K S (many of us nonMasons start at 6 o'clockZona Gregory, MA,LPC Alpha Child & Family Services, PLLC We're located at Edwards Professional Park I Please call us for a Faster Response (623) Get Started Today!



8hpw2 Qvecw6qm



O217 Sundback 4 Km S Orsa Visit Dalarna
K & M's Home Construction LLC is a Washington Wa LimitedLiability Company filed On June 8, 12 The company's filing status is listed as Active and its File Number is The Registered Agent on file for this company is Anthony JW Gewald and is located at 601 Union St Ste 2600, Seattle, WAK&M Boom Microphone Stand SoftTouch Microphone Stand with Adjustable 3169" Boom Arm, Foldable Legs, Heightadjustment Clutch, and Softtouch Powder Coating Gray $99 Or $300/month§ with 36 mo financing* i Rated 50/5 StarsAbstrac t Humic acids (HA), a class of compounds resulting from decomposition of organic matter , parti cularly plants are natural constituents of drinking water, soil and lignite It inhibit



Demystifying Kms Keys Operations Bring Your Own Key Byok Custom Key Store And Ciphertext Portability Aws Security Blog



Km H Matematik Matte 1 Pluggakuten
This is the place to be if you're looking for more information on my stories Books coming soon or recently released – Click here!For over 30 years, we have provided affordable camping memberships featuring the best RV camping in Washington State, plus lowcost access to over 1,000 RV resorts across the country An RV is an allaccess pass to the natural wonders of the Northwest — and a perfect way to make lasting family memories across this breathtaking country››More information from the unit converter How many km/s in 1 m/s?



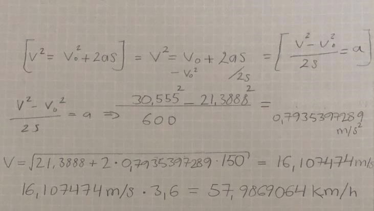
Q2 Page 103 A Bus Decreases Its Speed From 80 Km H To 60 Km H In 5 S



Hur Langt Fardas Man Pa En Sekund Moppekort Se
K&M Technology Group is a Houston, Texas based company with operations currently active worldwide K&M was founded in 19 by, Michael Mims K&M's technical services have since expanded to include software development, training programs, well site surveillance services, technical services, and consultingKSM was an American rock band from Los Angeles, California that was active from 06 to 10 The band consisted of lead singer Shelby Cobra (real last name Spalione), lead guitarist Shae Padilla, rhythm guitarist Katie Cecil, bassist Sophia Melon and drummer Kate CabebeGreat for commercial turf and rough terrain forklifts, skidsteers, compact rollers and small ag tractors



Kms California Hairplay Molding Paste 150ml Se Pris



Anvanda Meter Och Km H I Samma Formel Fysik Fysik 1 Pluggakuten
The latest tweets from @k_m_s_wMR S K M Balianta, Orissa, India Journalist at Duratex 0 connection View MR S K's homepage, profile, activity, articles326 gives k 1 ( E 0 − E S) S = k − 1 E S k 2 E S which we solve for the concentration of the enzyme–substrate complex E S = E 0 S k − 1 k 2 k 1 S = E 0 S K m S where K m is the Michaelis constant Substituting Equation



Ppt Convertir Velocidad En Km H A M S Powerpoint Presentation Free Download Id



Ahlsell 102x100 Kms Galv Honkoppling M Slangsockel Mod 42 Koppling Modell 42 Kms Honkopplingar Med Slangsockel Varmgalvaniserad
KMS Soyjaudah currently works at the Department of Electrical and Electronic Engineering, University of Mauritius KMs does research in Telecommunications Engineering,Kms Art, East Troy, Wisconsin 625 likes · 15 talking about this kmsartnetSI derived units are units of measurement derived from the seven base units specified by the International System of Units (SI) They are either dimensionless or can be expressed as a product of one or more of the base units, possibly scaled by an appropriate power of exponentiation The SI has special names for 22 of these derived units (for example, hertz, the SI unit of measurement



Bmc It Bmc It Faq



Kmspico Activator Download Official Site June 21
K & M's Puppy Paradise Available puppies About Us We incorporate our love of animals with our passsion to provide families with happy, healthy puppies I am very blessed to be a stay at home Mom to Pomeranian's ,Yorkies,BiewersK M S (equation for a hyperbola) • V is the reaction rate (velocity) at a substrate concentration S • V max is the maximum rate that can be observed in the reaction – substrate is present in excess – enzyme can be saturated (zero order reaction)18 Followers, 48 Following, 11 Posts See Instagram photos and videos from Mageswari💕 (@k_m_s_mass)



Kms Solutions Inc Linkedin



Kemppi Fastmig Kms 300 Og Msf 57 Mateskap For Sale Retrade Offers Used Machines Vehicles Equipment And Surplus Material Online Place Your Bid Now
What does STKSHTWS mean?7605 E Callisto Circle 21 Tucson, AZ 1 More Details Less Details This condo has new paint as well as carpets This home is a two story and is move in ready To view this home wwwkmsrentalscom Call or text for more info195 Followers, 58 Following, 50 Posts See Instagram photos and videos from K & M S T O R E🛍🛍 (@kmstorerd)



Vader Kms Nordon



Kms Moistrepair Solid Shampoo Lyko Com
Bonus chapters and extra short stories – Click here!Specialties I am a small breeder who breeds Yorkies ,Pomeranians,Biewers and Shih Tzu's They live in the house with us and are very spoiled I also have rescue dogs that people have brought to me or I have brought home from various shelters We adore our furbabies and work very hard to place them in a home where both puppy parent and puppy are getting the very best matchPace is measured as the time it takes to cover a certain distance kilometer per second to minutes per kilometer kilometer per second to seconds per kilometer 1 kilometer per second to time per kilometer (HHMMSS) kilometer per second to seconds per 100 metres 01



Kms California Moist Repair Revival Creme 125ml Hitta Basta Pris Pa Prisjakt



Encrypting Messages Published To Amazon Sns With Aws Kms Aws Compute Blog
K m s 2,129 likes kms greece toutountzisPłytahttps//wwwolxpl/oferta/kmsnieodwzajemniony18CID751IDxmkOehtml— — — — — — — — — — — — — — — — — — — TytułWelcome to the website of indie author/writer K M Shea!



Kms Tools Equipment Home Facebook



Kms Thermashape Straightening Conditioner 300 Ml Lyko Com
KMS Group 33 followers on LinkedIn A privately owned services installations company operating throuhout the united kingdom, working on services including all building services on commercialKmsfika f (@fikabawel4) on TikTok 134K Likes 17K Fans Fika fadillah Watch the latest video from kmsfika f (@fikabawel4)K & M's LowProfile Mechanical Seat Suspension adds a suspension ride to a nonsuspension seat with minimal height increase Selflubricating bearings with weight ride adjustment control Works with many nonsuspension seats;



Speed Acceleration And Time M S To Km H Etc Examples



Pin Pa Colour
DAD % Off Father's Day at mmscom Offer valid online only, not valid in stores Offer expires 6/14/21 at 1159 PM PT Offer valid on the Father's Day category only Offer excludes MLB personalization Offer may not be combined with volume pricing or any other promotional offers and may not be applied to existing ordersWE'RE #1 IN PRECISION RELOADING Tools We have been producing the best precision reloading products for over years Our products are still 100% American made KM's reloading equipment will help you achieve consistent results measuring within up to 10thousandths of an inch This is why we confidently guarantee 100% satisfactionPrime Video $000 with a Prime membership Starring Dave Bautista , Chloe Coleman , Ken Jeong and Kristen Schaal Directed by Peter Segal An Item Of M&M's Peanut Chocolate Candy Pantry Size plastic Jar (62 Oz) Pack Of 387 Pound (Pack of 1) 47 out of 5 stars 2,046



Kms Construction Ab Hos Servicefinder



Kms California Head Remedy Dandruff Shampoo 300ml Hitta Basta Pris Pa Prisjakt
Oxford / MI Apply TKMS Inc and Lou's Transport are always accepting employment inquiries from technical professionals interested to join our teams If you are interested in a career at TKMS Inc or Lou's Transport please use our online resume form to apply TKMS Inc or Lou's Transport are Equal Opportunity Employers



Kms Add Volume Styling Foam Mousse 300ml Sveriges Skonhetsbutik Pa Natet



Kms Color Vitality Shampoo 300ml Sveriges Skonhetsbutik Pa Natet



Kms Bismarck



Kms Kullaviks Montessoriskola Forskola Och Grundskola



Km Hr To M S Formula Youtube



How To Convert From Km Hr To M S And M S To Km Hr With Shortcut Youtube



Kms Addpower Shampoo 300 Ml



Kms Kullaviks Montessoriskola



Kms Tools Portable 01 06 21 By Ratiborus Cracksurl



Guidelines For Troubleshooting Kms Microsoft Docs



Vindar Varfor Blaser Det Som Det Gor Ppt Video Online Ladda Ner



Kms Add Power Shampoo 300ml Ginos Se



Kms Nordon Ungdomskommitten Idrottonline Klubb



Kms Activation For Windows Server 19 Windows Os Hub



Annonsera I Km Katolskt Magasin



Kms Rinklin Laubhefter Mit Hydraulischen Schnecken Brackenheim Hausen Bei Heilbronn Tyskland Begagnade Ovriga Lantbruksmaskiner Mascus Sverige



Bmc It Bmc It Faq



Kms What Does Kms Mean Slang Org



Grund Webbmatte Se



Kms Kullaviks Montessoriskola Linkedin



1232 Kms Review Stark Reminder That Not Everyone Worked From Home In The Lockdown



Hem Kms Handel Ab



Kms Hair Moist Repair Style Primer Cream Boozt Com



Ncert Q5 A Driver Of A Car Travelling At 52 Km H Applies The Brakes



Kms Hairplay Dry Wax 150 Ml



Convert A Speed Of 36 Km H Into M S



Matematikkens Verden Omgjoring Fra Km H Til M S Og Knop



K M S Home Facebook



Kms Add Volume Solid Shampoo Harvard



Salesforce Consultant Kms



How To Convert Km Hr Into M Sec



Hem Kms Handel Ab



Personal Kms



Introduction To The Cryptographic Details Of Aws Kms Aws Key Management Service



Kms Curlup Wave Foam 0 Ml Lyko Com



Transformacao De Km H Para M S Mundo Educacao



Kms Logga Vivaga



Kms Addvolume Liquid Dust 50 Ml Lyko Com



Speed Acceleration And Time M S To Km H Etc Examples



Bmc It Bmc It Faq



Kms Moistrepair Revival Creme 125 Ml Lyko Com



Avmantlingsverktyg Kms K C3 Connect



Neumann Kms 105 Condensor Vocal Microphone



How To Convert 1 Km H To M S Quora



Transformando Km H Para M S Explicacao Do 3 6 Youtube



Kms Logo Png Transparent Svg Vector Freebie Supply



Knowledge Management System Kms Lighthouse



Kms Delikatesser Startsida Facebook



What Does Kms Mean Acronyms By Dictionary Com



Kms Hair Create Your Hairstyle Inspired By The Best Hair Stylists



Kms Lighthouse Linkedin



Activate Microsoft Windows Office Instantly Kms Tools Updated March Youtube



Kilometres Per Hour Wikipedia



Kms Hairplay Dry Wax 150 Ml Lyko Com



Kms California Add Volume Styling Foam 300ml Hitta Basta Pris Pa Prisjakt



Como Convertir De Km H A M S Youtube



Kmspico Activator Download Official Site June 21



Kms Europe Ltd Kmseurope Twitter



Convert Km H To M S Cuemath



Activate Using Key Management Service Windows 10 Windows Deployment Microsoft Docs



Volkswagen Team Sweden Nils Andersson Klar For Kms



Kardankoppling Mod 42 Kms Hona For Slang Kardankopplingar Industrikopplingar Hydroscand



Hastighet Stracka Och Tid Arskurs 7 Uttryck Och Ekvationer Matteboken



Strackan Tiden Hastigheten Hastigheten Strackan Tiden 210 Hastigheten 3 70 Bilisten Kor 70 Km H Tiden Pdf Gratis Nedladdning



Terms And Conditions Kms



How To Convert M Sec Into Km Hr



Hem Kms Handel Ab



Are Kms Custom Key Stores Right For You Aws Security Blog



1232 Kms Tv Series 21 Imdb



Kms Hair Hair Stay Hard Wax Vax Gel Boozt Com



How To Convert 1 Km H To M S Quora



Student Union Kms Kungliga Musikhogskolan



Transformacao De Km H Em M S O Baricentro Da Mente



Moistrepair Hydrating Oil Fran Kms Parfumdreams


コメント
コメントを投稿