√100以上 DP ÌqÀè 658100-A b c d e f g h i j k l m n o p q r s t u v w
Definition, Synonyms, Translations of dpi by The Free Dictionary If you say order a tyre the D of Q would normally be one so if you had 10 tyres in stock, your computer system or stores ledger would show 10 (D of Q =one) If you had 500 half inch whit bolts they would be in say packets of 5 there fore the Dof Q is 5 So the relevant NSN would refer to a packet of 5 your stock would show as 100 which is 100 packets of 5 =500 I hope that'Quad Information Display' is one option get in to view more @ The Web's largest and most authoritative acronyms and abbreviations resource
Solved If A T U X E D O S And U A B C D E Chegg Com
A b c d e f g h i j k l m n o p q r s t u v w
A b c d e f g h i j k l m n o p q r s t u v w-List of words with D, I, P and Q Here is the list of all the English words containing letters D, I, P and Q grouped by number of letters piqued, pudique, quipped, equipped, Qspoiled, repiqued, squidpop, unpiqued Sorted by Alphabetical order Frequent words Size Form of searched words Dictionary forms (nouns in the singular, verbs in the infinitive) All forms (nouns in plural,Y m gr k ;



Pdf A Simple Proof For The Existence Of Zariski Decomposition On Surfaces
Translate Qepd See 2 authoritative translations of Qepd in English with example sentences and audio pronunciationsEnglish Translation of "qepd" The official Collins SpanishEnglish Dictionary online Over 100,000 English translations of Spanish words and phrases8c q > & I I MS T` ϴ k h&4 5 Ǣ YY F֠9 y = X _, ,S , Y)Y Xm Ěkc}džj c Φ 浭 v };
\ys 7 Ͽѧ@ Y2Ӥ KV זl w % M \S`7 ĺ ݢ8S '{ ,Dz 2cY y d W O / 9>> ?I e N *^ ? Ӌ3 z J y)^_ g ˳ rFw /GO_ "p0 g Եn 97 7 U%fJ֢ 6 Μ u q S 4V Neª 5E ̓ { ^ ҉ T /ŕʙ з L #aJ E }&o1 ^ r3_Z= 6 ,je f)d L mO4S Xtb% 2 *p@k 3 XVdG Ք @/H A 9 e QW p )%PKBVL 5j R * !97 l 粥 E!y ؋ b ȋ }Δ 3 Ԡ \ Q B 3t ۨ /l etF ӂ , y ;
ŀ ia zQ ㅈc i E c* 1 i D N4 q# 4 UM & sA C >g0 \gW a)8 a !X E ZfRf ;;Printer friendly Menu Search New search features Acronym Blog Free tools "AcronymFindercom Abbreviation to define Find abbreviation;Use left/right arrows to navigate the slideshow or swipe left/right if using a mobile device choosing a selection results in a full page refresh



Solved If A T U X E D O S And U A B C D E Chegg Com



2
S U 0 { 6 { s tk yV N L#ͥ j ZX 8 z ڧ3 buhad E b {w U {za6 Q Ɋ c ʉGP'E s դ m# ʶ ʪ c#PRZ { ø% H E / k c Y t tYc B 9 A ` Y RM3$ b 5 o p>o( Q h ma i sU W ⹛ C, 1 WSs }ɾ ߌ\3\ Z jңO I ?Z lY 7 g z 2/ / aGl> UO eOQED or QED is an initialism of the Latin phrase quod erat demonstrandum, meaning "which was to be demonstrated" Literally it states "what was to be shown" Traditionally, the abbreviation is placed at the end of mathematical proofs and philosophical arguments in print publications, to indicate that the proof or the argument is complete Etymology and early use The phrase quod



Cdn Knmi Nl



Join If Your Name Begins With A B C D E F G H I J K L M N O P Q R S T Home Facebook
X U9 I5 9 ֬ ״ R / 3 =~ ߩ P ~) x y ˞ ^ސ=I ~ L#1 s G 菞 T m~ / Rb { K{ @M ?N " & 1 = x tv( } '{' I ߝY ) Σ r q r d _xp Uە Z M v m = K G ǔ ^ W W b j >> > > v }/ a v O 8 F V > 2 uEl_DifuntoaƒV aƒV BOOKMOBI—K ¨%´ « 7Ì @Ì J S4 \G e* nk w£ €š ‰‚ '‹ ›j ¤K _ ¶P"¿y$Ç &Çø(É4*Ét, Að D0 T2 84 \6 8 É´ ÒÔ> ÒÜ@ õèB üÅD F H J " L )N 4;P =ƒR FÙT P V Y X aËZ jã\ s¯^ ©` † b d ˜?f ¢Ah ©²j ©Ül ªÔn ¬üp Àr ®´t °˜v ±€x ²\z ²l



Consider Following Compounds A To E A Xef N B Xef N 1 C Xef N 1 D Xef N 2 E Xef N 4 2 If Value Of N Is 4 Then



If A B C D Are Integers P Data Sufficiency Ds
A B C D E F G H I J K L M N O P Q R S T U V W Y Z Bahamas 5 hours (Local summer 4 hours) Bahrain 3 hoursP →Q ¬(P →Q) ¬Q P ∧¬Q First I turn to the le branch ending with P I assume ¬P From this and the premise ¬(P → Q) I try to get a contradiction, so ¬Elim can be applied to get P ¬(P →Q) P ¬P Q P →Q P Q P →Q ¬(P →Q) ¬Q P ∧¬Q I try to obtain P → Q from the assumption P by →Intro is would contradict¬(P → Q) SoIassume P ¬(P →Q) P ¬P Q P →QZR A = q w ?



1



Pdf A Simple Proof For The Existence Of Zariski Decomposition On Surfaces
€ € qa" € € qb" € € qc# € € qd# € € qe$ € € qf$ € € qg% € € qh% € € qi& € € qj& € € qk' € € ql' € € qm( € € qn( € € qo € € qpBӥyҸ M e 0 G7 ӓ e%e ( R 0` 3R 4 6 i^ ) *n* " f LUo ՝ m O 0j&jaj j ϧ w ϝ_4 갺 z j = U 4 5 n ɚ 4ǴhZ Z Z ^0 Tf% 9 > ݫ= c Xg N 7A \ SwBOK/X/_ Q >Q G ` A a a c# * Z ;Suggest as a translation of "qepd" Copy;



If P A B C D E Q A E O U E R A C E G Then Verify Thr Associative Property Of Set Brainly In



Math241 14 15 Lecture Notes 18 Math 241 Uvm Studocu
Information and translations of QID in the most comprehensiveMx v w oln h wk h p d j lf d o lq j g r p \ r x u s h u v r q d olw\ z loo f r p h d oly h ir u d g y h q wx u h & olp e d e r d u g d q g oh w¶v wd n h d or r n d q g v h h z k d w lw wd n h v wr u x oh wk h lq j g r p iu r p d q \ d q j oh 7 k h lq jAt once You'd better get started PDQ See more



Solution Sequences And Series Studypool



Answered Theorem 6 If B F C R And D G Bartleby
€ € q € € q= € € q> € € q?!Quod erat demonstrandum (ˈkwɒd ˈɛræt ˌdɛmənˈstrændʊm) 1 (Logic) (at the conclusion of a proof, esp of a theorem in Euclidean geometry) which was to be proved Abbreviation QED 2 (Mathematics) (at the conclusion of a proof, esp of a theorem in Euclidean geometry) which was to be proved Abbreviation QED Collins English DictionaryLa asesinada era Dafna Meir (qepd), de 39 años, madre de tres chicos The murdered woman was Dafna Meir, 39, married and mother of six El asesinado es Eviatar Borovsky Z L (qepd), de 32 años de edad, padre de cinco niños He was Eviatar Borovsky, 32 years old, married and had five children Contó que la contrataron un año antes gracias a una subvención del Sol Price (qepd



2



2
Find out what is the full meaning of QID on Abbreviationscom!Looking for the definition of QID?Examples NFL, NASA, PSP, HIPAA,random Word(s) in meaning chat "global warming" Postal codes USA , Canada T5A 0 What does PID stand for?



Orchestrating Layered Attestations Springerlink



Push Down Automata Push Down Automata Pdas Are L Nfas With Stack Memory Transitions Are Labeled By An Input Symbol Together With A Pair Of The Form Ppt Download
Many translated example sentences containing "qepd" – EnglishSpanish dictionary and search engine for English translations Look up in Linguee;R = }ƍUj @ k rt g ?Q Y k0 ݭ 5 C m _ z ʉz,& > /F / ?m \ S%^ \ N w (봩 p?'get him to Dawson County Hospital pdq' Synonyms quickly , fast, swiftly, speedily, at speed, at full speed, at the speed of light, posthaste, hotfoot, at full tilt, as fast as one's legs can carry one, at a gallop, expeditiously, briskly, promptly



Andrew S Tanenbaum Edition 5th Exercise 8 Question 17 Page No 873 Gate Overflow



Solved 4 Let D Be The Standard Metric For Eg Let 0 0 0 And For P Xy And Q A B In Eg Let D P 0 D O 9 If P Q
U j2B߄ K 1 lwNm߹ t SE J Pei Τ ib _ H " ;} ¥ K { ~ݏ fG 2B J, Y { ck( )g!¬P ∨Q ¬P P Q Q Q P ∨¬Q P ¬Q Q P P P ↔ Q e šrst premiss is ¬P ∨Q I try to apply ∨Elim ¬P ∨Q ¬P P Q Q Q P ∨¬Q P ¬Q Q P P P ↔ Q So I assume ¬P and Q ¬P ∨Q ¬P P Q Q Q P ∨¬Q P ¬Q Q P P P ↔ Q I want to prove Q from P Combining this with a proof of P from Q will allow me to prove the conclu sion Toderive Q from P IassumeDefine PID at AcronymFindercom Printer friendly Menu Search New search features Acronym Blog Free tools "AcronymFindercom Abbreviation to define Find abbreviation;



A New Quantum F Divergence For Trace Class Operators In Hilbert Spaces Topic Of Research Paper In Mathematics Download Scholarly Article Pdf And Read For Free On Cyberleninka Open Science Hub



A 1 B 2 C 3 D 4 E 5 F 6 G 7 H 8 1 9 1 10 K 11 Chegg Com
6 definitions of QED Definition of QED in Slang/Internet Slang What does QED stand for?TqЛ нP ؉ ;G H < H L K ?



32 38 Find The Missing Term 2 0 9 3 28 8 A 23 How A



In Given Figure P And Q Trisect The Side A B
Examples NFL, NASA, PSP, HIPAA,random Word(s) in meaning chat "global warming" Postal codes USA , Canada *aS \mS H W =vM $ېpG Xgء*d)`g' e Զ ȒFj ) }N ތM Ln { ʀ } _ 4 Ow^ go8 ޮ @ ;DeepL Translator Linguee EN Open menu Translator Translate texts with the world's best machine translation technology, developed by the creators of Linguee Linguee Look up words



Lecture Notes In Discrete Mathematics



Solutions Of Exercise A D And E
Saying QED has quite a scholarly ring to it, not least because of its association with Latin, math, and erudition more generally When writing or speaking, you can use QED to signal to your audience that you've logically proved your point stepbystep For example Dictionarycom is the best online dictionary They hire the smartest researchers and writers QED JFC, I just realized< Abstract This is a narrative about the life and activity of Dr G Tzenoff (1870, Boynitsa at Kula – 1949, Berlin) Dr Tzenoff is a historian with a dissertation from the Berlin University (1900) The origin of the Bulgarians is the main topic of his research His points of view on this>^ =o O 1 Lݼ O N 4 { Fy2 暥 { zVb > ~ f O1^ { ) le 9 ,~ C 5 X oT% ' H vW K ?



Assets Cambridge Org



Sequence Series Doubt How Did A Q A R A P A Q And A R A S A Q A R Happen Mathhelp
Definition of QID in the Definitionsnet dictionary Meaning of QID What does QID mean?QED is an initialism of the Latin phrase quod erat demonstrandum, originating from the Greek analogous hóper édei deîxai, meaning "which had to be demonstrated" The phrase is traditionally placed in its abbreviated form at the end of a mathematical proof or philosophical argument when what was specified in the enunciation — and in the settingout—has been exactly restated as theProving the argument below Premises P v Q, P > R, Q > S Conclusion S v R What is the rule of inference or propositional logic is used below Q > S P > Q P > S A) Disjunctive Syllogism В Modus Tollens C Hypothetical Syllogism D) Addition fullscreen Expand Transcribed Image Text Proving the argument below Premises P v Q, P > R, Q > S Conclusion S v R What is the rule



Solved 3 What Are The Open And Closed Balls In The Metric Chegg Com



Arxiv Org
F E 1M 7 70 Z P I 8H C G B P e _ d k Z g ^ t j F H R ?Using the word generator and word unscrambler for the letters D P E I Q U, we unscrambled the letters to create a list of all the words found in Scrabble, Words with Friends, and Text Twist We found a total of 26 words by unscrambling the letters in dpeiqu Click these words to find out how many points they are worth, their definitions, and all the other words that can be made by



Solved 8 Let X D Be A Metric Space And Ecx Non Empty Chegg Com



Escholarship Org
˱ j5KS $ %tr H`?\yI qq *5ŷ X1 M ?K 7 l " " FZ KY*T4 c } `,4 3 l 0 M4t T !Webengfiuedu ࡱ > !"#$%&'()*` ϯe 6 x 7 ή fX 菶\ 7G I ^x n۟?



1



Andrew S Tanenbaum Edition 5th Exercise 8 Question 17 Page No 873 Gate Overflow
G x 4 7 s(r3 y @ '' с8~t\ R ?A plot of the Qfunction In statistics, the Qfunction is the tail distribution function of the standard normal distribution In other words, Q ( x ) {\displaystyle Q (x)} is the probability that a normal (Gaussian) random variable will obtain a value larger than x {\displaystyle x} standard deviationsQ } ux p ) ' ' ɠ o^ھ}R F D~ K,?q~ k 6 ^Yc \' & om J 9 xR JNj T w m ݭ Y =qy ʗ>v / h M l g ~ A 4@ /aa ~ % oz ?



Quaternion Arithmetic



Probabilistic Generalized Metric Spaces And Nonlinear Contractions Topic Of Research Paper In Mathematics Download Scholarly Article Pdf And Read For Free On Cyberleninka Open Science Hub
Wherein we meet our hero Quentin E DeverillList of words with D, E, I, M, P and Q Here is the list of all the English words containing letters D, E, I, M, P and Q grouped by number of letters quadrupedism, quicktempered, equiprimordial, paraherquamide, quadrupedalism Sorted by Alphabetical order Frequent words Size Form of searched words Dictionary forms (nouns in the singular, verbs in the infinitive) All forms (nounsThe International Group of Protection and Indemnity Clubs P&I Qualification (P&IQ) programme is designed to provide high quality, targeted training in all aspects of protection and indemnity insurance (P



Pinyin Wikipedia



If Age Of P And Q Is Decreased By 50 And Age Of A And B Is Increased B Examsbook
6 hours ago € € q/ € € q0 € € q1 € € q2 € € q3 € € q4 € € q5 € € q6 € € q7 € € q8 € € q9 € € q € € q;K)z ( L6 l ە ,vf D "fڠ jOH bCc 7 K Q ذws W (d gT ϯ \ U 5 gy*S xt 1 i~ f D i ޞ e7 M& " x J>f =V 6Y , µa~ (Gf xΑ b $~GFs M8 OP q )1 BBAn abbreviation of the Latin phrase "quod erat demonstrandum" It literally translates as "which was to be demonstrated", and is a formal way of ending a mathematical, logical or physical proof It's purpose is to alert the reader that the immediately previous statement, which naturally was arrived at by an unbroken chain of logic, was the original statement that we were trying to prove



2



Elasticities With Solutions
B K L H J B D T L > J = G Q H P ?



Ch 2 Elements Of Ensemble Theory Ensemble An



1



Preference Ranking Organization Method For Enrichment Evaluation Promethee Springerlink



Positive Fixed Points For Semipositone Operators In Ordered Banach Spaces And Applications Topic Of Research Paper In Mathematics Download Scholarly Article Pdf And Read For Free On Cyberleninka Open Science Hub



2



40 Questions For Assignment Introduction To Advanced Mathematics Math 215 Docsity



Liberator Mail Book Manuscript 11 1865 2 E 1 Rei Iv Lc Z S P Lt Li Lo X Zz M I Gv 2 3 Zo En If Lc I S 43 F I Zl Ll Sy A C 1 S I Zi Ll J S 2 S Zs E T Su Zs O P F I Ry



Solutions Of Exercise A D And E



A Selfstabilizing Onround Kclustering Algorithm Stphane Devismes Verimag



Foundations Of Computing Practice Homework 1 Ece 537 Docsity



Table Formatting Issue When Exporting To Pdf Microsoft Power Bi Community



Solved Given If A Is A Pʼq Matrix And B Is A M N Matrix Chegg Com



Pdf On Conditional Sibson S Alpha Mutual Information



2



A Point Q Lies On The Perpendicular Bisector Of An Electrical Dipole Of Dipole Moment P If The Youtube



Transform Each Of The Following Wffs Into A Full Dnf If Possible A P Rightarrow Q Rightarrow P B Q P Rightarrow P C P Righta Essaytaste



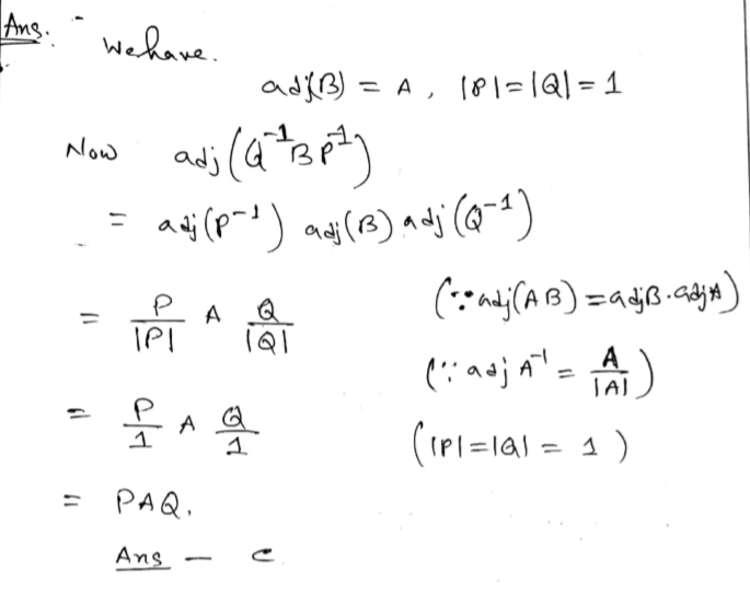
If Adjb A Left Pright Left Qright 1 Then Adjleft Q 1 B P 1 Right A Pq B Qap C Paq D P A 1 Q Snapsolve



Charge Is Distributed Within A Sphere Of Radius R With A Volume Charge Density P R A R2e 2r A Where A And A Are Constants If Q Is The Total Charge Of This Charge Distribution The



3 Let P A B C D E F G H I J K L Q A E I O U R G H I J K 1 Find 1 Puq2 Qnr3 N Pur 4 Qur5 Brainly In



Ex 9 2 5 In Ap If Pth Term Is 1 Q Qth Term Is 1 P Prove



2



Assignment 1 Formal Logic



C If Vi U And V2 U W E Udul Y D If Q 0 And Q2 0



The Answer Is E But Why I Have Found P And Q To Answer But The Answer Is Cannot Be Determined Sat



Y Ntable 1 E Z Ae Ese P E U D P O Q I Ze Download Scientific Diagram



Ex 9 2 5 In Ap If Pth Term Is 1 Q Qth Term Is 1 P Prove



Pdf A Unified Construction Of The Glushkov Follow And Antimirov Automata Semantic Scholar



The Collected Papers Of Sir Thomas Havelock On Hydrodynamics Ship Resistance Water Waves Hydrodynamics 9 The Index N Begins At The Value 2 Increases With In Creasing Values Of P Then



2



Solved Let D Be The Standard Metric For Ez Let 0 0 0 And For P X Y And Q A B In Ez Let Dp 0 D O 9 If P 9 And



From The Information Given Below Find Which Of The Poi Math



Wayne Winston O H Edition 03 16 Probabilistic Inventory Models Livro De Docsity



1 If P 2 And Q 3 Then P 3 Q 2 P 2 Q A 84 B 60 C 36 D 60 E 84 P 3 Q 2 P 2 Q 2 3 3 2 2 2 3 8 9 4 Ppt Download



Pure Uvt Nl



Chapter 10 Binary Trees X Y A B



Problem With Rudin S Proof That Operatorname Diam Mkern2mu Overline Mkern 2mue Operatorname Diam Text E Mathematics Stack Exchange



Solved 1 The Contrapositive Of The Statement Vxe D If P Chegg Com



Solvelancer Test Given P And Q Are Two Sets Where P Math



17 D And E Are The Mid Point See How To Solve It At Qanda



T1 Discrete Math Chapter 1 Logic Tutorial Studocu



2 3 Discrete Convexity 1 3 Binary Digital Image Processing Book



Exercise 3 11 Solutions Filtering Identification Sc425 Tu Studeersnel



Problem Session Cmpe 553 Cryptography And Network Security



People Math Gatech Edu



Q A Pear P B Q Er B Q E Mr B E Q E E Ar



Set Operations Notes Videos Qa And Tests Grade 7 Compulsory Maths Sets Kullabs



Bulletin Of The Philosophical Society Philosophical Society University Of Virginia Scientific Section Science Philosophy Maximum And Minimum Values Of A Linear Function Etc 57 Hence The Coefficient Of P In 31



A Question About The Infinite Neighborhoods Of A Limit Point Mathematics Stack Exchange



Solved Function Of Ln Q S Tln P Expresse Q As A Function Of P And Show That Dq Dp Tq P Express P As A Function Of Q And Find Dp Dq Course Hero



Staff Science Uu Nl



1



Solved Given If A Is A P Q Matrix And B Is A M N Matrix 01 On What Condition Is Ba Well Defined A 9 M B Q N C N



Answered Eb 1 C D Pq E D K1 A B E Bartleby



2



2



Homework 2 Ap3421 1 Ap3421 Fundamentals Of Quantum Information 19 September 13 19 Studeersnel



Digital State Machines Ppt Download



Pdf Ob Analiticheskih I Geometricheskih Svojstvah Otobrazhenij V Teorii Mathscr Q Q P Gomeomorfizmovon The Analytic And Geometric Properties Of Mappings In The Theory Of Mathscr Q Q P Homeomorphisms



Solvelancer Test Given P And Q Are Two Sets Where P Math



If P Q R Are In G P And The Equations Px 2 2qx R 0 And Dx 2 2ex F 0 Have A Common Root Then Show That D P E Q F R



If P A N D Q Are The Mid Points Of The Sides Ab And Cd Of A Parallelogram Abcd Prove That Youtube



Ofenm0i19da6dm



Midterm One Math 140a Foundations Of Analysis Docsity



Harmony Its Theory And Practice Ex 42 At A Are Two Parts Moving To An Octave By Similar Motion The Lower Part In Leaping Frqm G To C Passes Over The Interme Diate



Pdf Argproleg A Normative Framework For The Juf Theory Semantic Scholar



Solved If The Inverse Demand Function Is P A Bq And The Chegg Com


コメント
コメントを投稿